Renesas Oscillator,XUH730080.000000I晶振,領先同行的無人機遙控晶振
頻率:80MHz
尺寸:5032mm
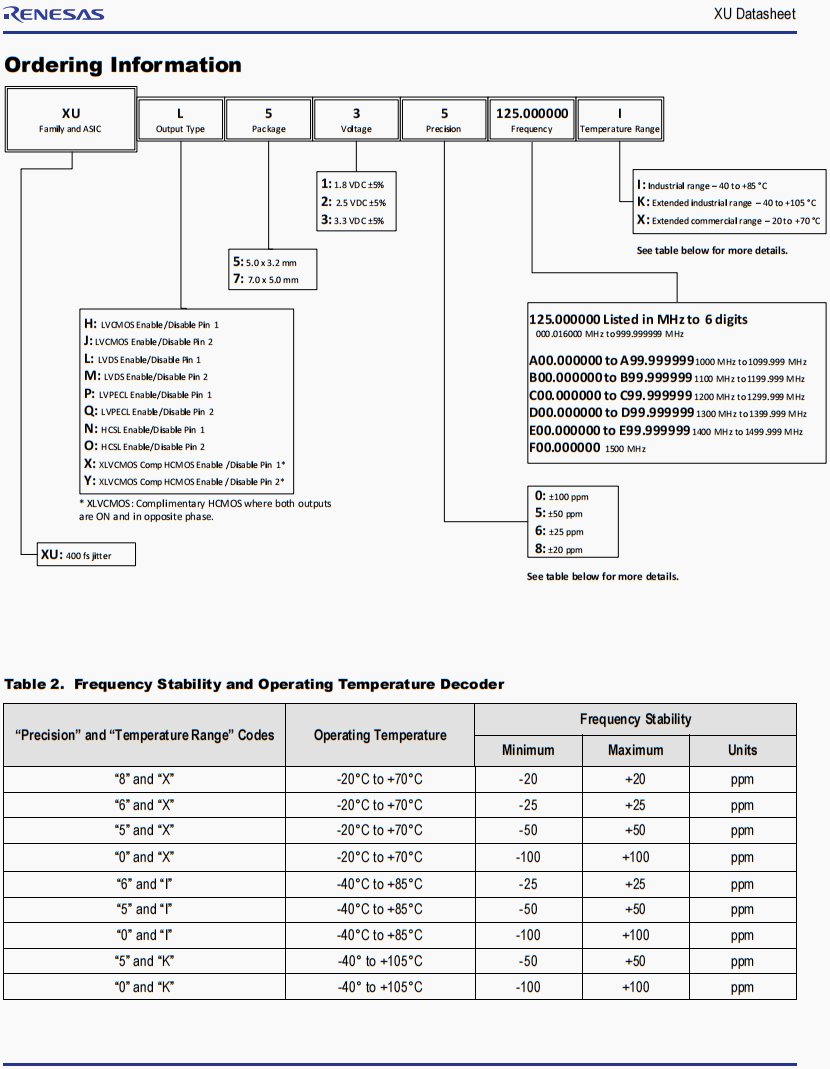
Renesas Oscillator,XUH730080.000000I晶振,領先同行的無人機遙控晶振,瑞薩晶振公司,進口晶振,有源晶振,貼片晶振,石英晶振,SMD晶振 ,OSC晶振,高品質晶振,高性能晶振,無人機晶振,航空航天晶振,XU器件是低相位噪聲石英基鎖相環振蕩器,支持大范圍的頻率和輸出接口類型。這些器件設計用于在三種不同的電源下工作,并提供多種封裝尺寸和溫度等級。憑借獲得專利的一次性程序(OTP),允許無限的存儲保質期,XU設備可以編程產生從16kHz到1500MHz的輸出頻率,分辨率低至1Hz精度。
Renesas Oscillator,XUH730080.000000I晶振,領先同行的無人機遙控晶振
| Symbol | Parameter | Test Condition | Minimum | Typical | Maximum | Units |
| F | 輸出頻率范圍 | LVDS. | 0.016 | 1500 | MHz | |
| LVPECL, HCSL. | 0.016 | 670 | ||||
| LVCMOS. | 0.016 | 167 | ||||
| 頻率穩定度 | Temperature = -20°C to +70°C. |
-20 -25 -50 -100 |
+20 +25 +50 +100 |
ppm | ||
| Temperature = -40°C to +85°C. |
-25 -50 -100 |
+25 +50 +100 |
ppm | |||
| Temperature = -40°C to +105°C. |
-50 -100 |
+50 +100 |
ppm | |||
| 輸出負載 | LVDS. | 100 | Ω | |||
| LVPECL. | 50 | |||||
| HCSL. | 50 | |||||
| LVCMOS. | 15 | pF | ||||
| TST | 啟動時間 | Output valid time after VDD meets minimum specified level. | 10 | ms | ||
| tR | 輸出上升時間 | LVDS. | 275 | 380 | ps | |
| LVPECL. | 400 | |||||
| HCSL. | 330 | |||||
| LVCMOS. | 3 | ns | ||||
| tF | 輸出下降時間 | LVDS. | 275 | 380 | ps | |
| LVPECL. | 400 | |||||
| HCSL. | 330 | |||||
| LVCMOS. | 3 | ns | ||||
| ODC | 輸出時鐘工作周期 | LVDS. | 45 | 55 | % | |
| LVPECL. | 45 | 55 | ||||
| 40 | 60 | |||||
| HCSL. | 45 | 55 | ||||
| LVCMOS. | 45 | 55 | ||||
| 40 | 60 | |||||
| TOE | 輸出啟用/禁用時間 | 100 | ns |
Renesas Oscillator,XUH730080.000000I晶振,領先同行的無人機遙控晶振
| 原廠編碼 | 生產商品牌 | 型號 | 頻率 | 輸出 | 電源電壓 | 頻率容差 |
| XUL535100.000000I | Renesas晶振 | XU | 100 MHz | LVDS | 3.3V | ±50ppm |
| XUL516100.000000I | Renesas晶振 | XU | 100 MHz | LVDS | 1.8V | ±25ppm |
| XUN535100.000000I | Renesas晶振 | XU | 100 MHz | HCSL | 3.3V | ±50ppm |
| XUL536100.000000I | Renesas晶振 | XU | 100 MHz | LVDS | 3.3V | ±25ppm |
| XUL536125.000000I | Renesas晶振 | XU | 125 MHz | LVDS | 3.3V | ±25ppm |
| XUL736100.000000I | Renesas晶振 | XU | 100 MHz | LVDS | 3.3V | ±25ppm |
| XUL536156.250000I | Renesas晶振 | XU | 156.25 MHz | LVDS | 3.3V | ±25ppm |
| XUL736150.000000I | Renesas晶振 | XU | 150 MHz | LVDS | 3.3V | ±25ppm |
| XUH518027.120000X | Renesas晶振 | XU | 27.12 MHz | HCMOS | 1.8V | ±20ppm |
| XUH538024.576000X | Renesas晶振 | XU | 24.576 MHz | HCMOS | 3.3V | ±20ppm |
| XUH738016.125000X | Renesas晶振 | XU | 16.125 MHz | HCMOS | 3.3V | ±20ppm |
| XUH738044.736000X | Renesas晶振 | XU | 44.736 MHz | HCMOS | 3.3V | ±20ppm |
| XUH518033.333333X | Renesas晶振 | XU | 33.333333 MHz | HCMOS | 1.8V | ±20ppm |
| XUH738025.000000X | Renesas晶振 | XU | 25 MHz | HCMOS | 3.3V | ±20ppm |
| XUH738072.000000X | Renesas晶振 | XU | 72 MHz | HCMOS | 3.3V | ±20ppm |
| XUH738022.579200X | Renesas晶振 | XU | 22.5792 MHz | HCMOS | 3.3V | ±20ppm |
| XUH538027.000000X | Renesas晶振 | XU | 27 MHz | HCMOS | 3.3V | ±20ppm |
| XUH538022.579200X | Renesas晶振 | XU | 22.5792 MHz | HCMOS | 3.3V | ±20ppm |
| XUH728025.000000X | Renesas晶振 | XU | 25 MHz | HCMOS | 2.5V | ±20ppm |
| XUH728020.000000X | Renesas晶振 | XU | 20 MHz | HCMOS | 2.5V | ±20ppm |
| XUH538013.000000X | Renesas晶振 | XU | 13 MHz | HCMOS | 3.3V | ±20ppm |
| XUH728016.125000X | Renesas晶振 | XU | 16.125 MHz | HCMOS | 2.5V | ±20ppm |
| XUH538067.108864X | Renesas晶振 | XU | 67.108864 MHz | HCMOS | 3.3V | ±20ppm |
| XUH538125.000000X | Renesas晶振 | XU | 125 MHz | HCMOS | 3.3V | ±20ppm |
| XUH535004.000000X | Renesas晶振 | XU | 4 MHz | LVCMOS | 3.3V | ±50ppm |
| XUH735033.333000X | Renesas晶振 | XU | 33.333 MHz | LVCMOS | 3.3V | ±50ppm |
| XUH730060.000000X | Renesas晶振 | XU | 60 MHz | LVCMOS | 3.3V | ±100ppm |
| XUH730080.000000I | Renesas晶振 | XU | 80 MHz | LVCMOS | 3.3V | ±100ppm |
| XUH736030.720000X | Renesas晶振 | XU | 30.72 MHz | LVCMOS | 3.3V | ±25ppm |
| XUH515045.125000I | Renesas晶振 | XU | 45.125 MHz | LVCMOS | 1.8V | ±50ppm |
| XUH525125.000000I | Renesas晶振 | XU | 125 MHz | LVCMOS | 2.5V | ±50ppm |
| XUH715066.600000I | Renesas晶振 | XU | 66.6 MHz | LVCMOS | 1.8V | ±50ppm |
| XUH715040.000000X | Renesas晶振 | XU | 40 MHz | LVCMOS | 1.8V | ±50ppm |
| XUH736033.000000I | Renesas晶振 | XU | 33 MHz | LVCMOS | 3.3V | ±25ppm |
| XUH716050.000000I | Renesas晶振 | XU | 50 MHz | LVCMOS | 1.8V | ±25ppm |
| XUH516033.333300I | Renesas晶振 | XU | 33.3333 MHz | LVCMOS | 1.8V | ±25ppm |
| XUH536090.000000I | Renesas晶振 | XU | 90 MHz | LVCMOS | 3.3V | ±25ppm |
| XUX735080.000000X | Renesas晶振 | XU | 80 MHz | HCMOS | 3.3V | ±50ppm |
| XUH536005.000000I8 | Renesas晶振 | XU | 5 MHz | LVCMOS | 3.3V | ±25ppm |
| XUJ730080.000000X | Renesas晶振 | XU | 80 MHz | LVCMOS | 3.3V | ±100ppm |
| XUL530039.000000X | Renesas晶振 | XU | 39 MHz | LVDS | 3.3V | ±100ppm |
| XUH516012.000000I | Renesas晶振 | XU | 12 MHz | LVCMOS | 1.8V | ±25ppm |
| XUH515100.000000K | Renesas晶振 | XU | 100 MHz | LVCMOS | 1.8V | ±50ppm |
| XUH715024.000000K | Renesas晶振 | XU | 24 MHz | LVCMOS | 1.8V | ±50ppm |
| XUH535008.000000K | Renesas晶振 | XU | 8 MHz | LVCMOS | 3.3V | ±50ppm |
| XUH535025.000000K | Renesas晶振 | XU | 25 MHz | LVCMOS | 3.3V | ±50ppm |
| XUL515644.530000I | Renesas晶振 | XU | 644.53 MHz | LVDS | 1.8V | ±50ppm |
| XUL526644.530000I | Renesas晶振 | XU | 644.53 MHz | LVDS | 2.5V | ±25ppm |
| XUH738020.000000X | Renesas晶振 | XU | 20 MHz | HCMOS | 3.3V | ±20ppm |
| XUH538010.000000X | Renesas晶振 | XU | 10 MHz | HCMOS | 3.3V | ±20ppm |
| XUH538020.000000X | Renesas晶振 | XU | 20 MHz | HCMOS | 3.3V | ±20ppm |
| XUH538040.000000X | Renesas晶振 | XU | 40 MHz | HCMOS | 3.3V | ±20ppm |
| XUH535003.686000I | Renesas晶振 | XU | 3.686 MHz | LVCMOS | 3.3V | ±50ppm |
| XUH510100.000000X | Renesas晶振 | XU | 100 MHz | HCMOS | 1.8V | ±100ppm |
深圳市億金電子有限公司 SHENZHEN YIJIN ELECTRONICS CO;LTD
聯系人黃娜:18924600166
工作QQ:857950243
貿易通:yijindz2014
座機:0755-27876565
郵箱:yijindz@163.com
微信:yijindz,公眾號:NDKcrystal
地址:廣東省深圳市寶安區107國道旁甲岸路
跟此產品相關的產品 / Related Products

- LFTCXO075797Reel,IQD英國進口晶振,TCXO溫補有源晶振
- LFTCXO075797Reel,IQD英國進口晶振,TCXO溫補有源晶振,憑借高精度溫補晶振性能與可靠品質,廣泛適配多類場景.在通信領域,可作為5G基站,光纖傳輸設備的時鐘參考源,保障信號傳輸時延穩定,在導航領域,適配北斗/GPS定位終端,提升定位精度,在工業控制領域,為高精度PLC,數據采集儀提供時序支持,確保工業生產數據的精準同步.同時,卷盤包裝設計兼容SMT自動化生產線,可大幅提升生產效率,降低人工成本.

- Q-25.0-JXS21-20-10/15-T1-FU-WA-LF,2016小尺寸貼片晶振,JXS21諧振器
- Q-25.0-JXS21-20-10/15-T1-FU-WA-LF,2016小尺寸貼片晶振,JXS21諧振器,以25.0MHz高頻輸出與超小尺寸為核心優勢,擁有卓越的環境適應性.產品可在-40℃~85℃寬溫范圍內保持頻率穩定,從容應對高低溫極端工況,且通過T1-FU工藝優化,抗振動,抗沖擊性能遠超行業標準,有效避免外力對諧振性能的干擾.

- Q-0.032768-JTX310-12.5-10-T1-HMR-60-K-LF,JTX310型號晶振,Jauch歐美晶振
- Q-0.032768-JTX310-12.5-10-T1-HMR-60-K-LF,JTX310型號晶振,Jauch歐美晶振,針對消費電子,工業自動化及醫療應用晶振設備領域對低功耗時鐘信號的需求,Jauch歐美JTX310型號晶振憑借32.768kHz精準頻率與可靠性能,廣泛適配多類場景.在消費電子領域,可作為智能手環,電子鬧鐘的RTC時鐘源,確保時間顯示精準,在工業領域,適配PLC控制器,數據采集模塊的低功耗時序需求,保障設備穩定運行.
晶振系列
日本進口晶振
- 京瓷晶振
- 精工晶振
- 西鐵城晶振
- 村田晶振
- 大河晶振
- KDS Quartz crystal
- NDK Quartz crystal
- EPSON Quartz crystal
- 富士晶振
- NAKA晶振
- SMI晶振
- NJR晶振
臺產晶振
歐美晶振
- CTS晶振
- 微晶晶振
- 瑞康晶振
- 康納溫菲爾德晶振
- 高利奇晶振
- Jauch晶振
- AbraconCrystal晶振
- 維管晶振
- ECScrystal晶振
- 日蝕晶振
- 拉隆晶振
- 格林雷晶振
- SiTimeCrystal晶振
- IDTcrystal晶振
- PletronicsCrystal晶振
- StatekCrystal晶振
- AEK晶振
- AEL晶振
- Cardinal晶振
- Crystek晶振
- Euroquartz晶振
- 福克斯晶振
- Frequency晶振
- GEYER晶振
- ILSI晶振
- KVG晶振
- MMDCOMP晶振
- MtronPTI晶振
- QANTEK晶振
- QuartzCom晶振
- QuartzChnik晶振
- SUNTSU晶振
- Transko晶振
- WI2WI晶振
- 韓國三呢晶振
- ITTI晶振
- ACT晶振
- Milliren晶振
- Lihom晶振
- rubyquartz晶振
- Oscilent晶振
- SHINSUNG晶振
- PDI晶振
- C-TECH晶振
- IQD晶振
- Microchip晶振
- Silicon晶振
- Fortiming晶振
- CORE晶振
- NIPPON晶振
- NIC晶振
- QVS晶振
- Bomar晶振
- Bliley晶振
- GED晶振
- FILTRONETICS晶振
- STD晶振
- Q-Tech晶振
- Anderson晶振
- Wenzel晶振
- NEL晶振
- EM晶振
- PETERMANN晶振
- FCD-Tech晶振
- HEC晶振
- FMI晶振
- Macrobizes晶振
- AXTAL晶振
- 瑞薩renesas晶振
- Skyworks晶振
有源晶振
霧化片
貼片晶振
32.768K
- 32.768K有源晶振
- 8.0x3.8晶振
- 7.1x3.3晶振
- 7.0x1.5晶振
- 5.0x1.8晶振
- 4.1x1.5晶振
- 3.2x1.5晶振
- 2.0x1.2晶振
- 1.6x1.0晶振
- 1.2x1.0晶振
- 圓柱晶振
聲表面濾波器
石英晶振
KDS晶振
愛普生晶振
- EPSON 32.768K晶振
- EPSON無源晶振
- EPSON普通有源晶振
- EPSON壓控晶振
- EPSON溫補晶振
- EPSON壓控溫補晶振
- EPSON恒溫晶振
- EPSON差分晶振
- EPSON可編程晶振

全球咨詢熱線
手機端






網址:

億金公眾號
億金微信號


